Công thức đạo hàm logarit
Công thức đạo hàm là một công cụ toán học quan trọng dùng trong việc tính toán độ dốc của một đường cong tại một điểm cụ thể. Đạo hàm của một hàm số f(x) tại điểm x=a có ký hiệu là f'(a) hay đơn giản là f'(x). Đạo hàm sẽ cung cấp thông tin về độ dốc của đồ thị hàm số tại mỗi điểm. Nếu như đạo hàm dương tại một điểm, hàm số sẽ tăng. Nếu đạo hàm âm, hàm số giảm. Nếu đạo hàm bằng 0 thì hàm số có điểm cực trị. Đạo hàm của một hàm số sẽ được tính bằng nhiều phương pháp khác nhau. Tuy nhiên công thức cơ bản phổ biến như sau:

Công thức đạo hàm cơ bản
Đạo hàm của hàm số hằng: f(x) = c, với c là một hằng số thì đạo hàm của f(x) là f'(x) = 0.
Đạo hàm của hàm số mũ: f(x) = x^n. Với n là một số nguyên dương thì đạo hàm của f(x) là f'(x) = nx^(n-1).
Đạo hàm của hàm số có mũ tự nhiên: f(x) = e^x, đạo hàm của f(x) là f'(x) = e^x.
Đạo hàm của một hàm số sin và cos: f(x) = sin(x), f'(x) = cos(x) hay f(x) = cos(x), f'(x) = -sin(x).
Ngoài ra, còn nhiều công thức đạo hàm khác cho các loại hàm số khác nhau. Chẳng hạn như hàm số hợp, hàm số mũ, hàm số lượng giác, hàm số mũ cùng nhiều loại hàm số phức tạp khác.
>> Xem thêm : Công thức cấp số cộng cấp số nhân
Trong lĩnh vực vật lý, công thức của đạo hàm thường dùng để tính toán vận tốc, gia tốc cùng các đại lượng khác trong quá trình di chuyển của một vật thể. Đạo hàm sẽ cho biết tốc độ thay đổi của một hàm số tại mỗi điểm khác nhau. Điều này rất hữu ích để hiểu về sự biến đổi của các hiện tượng thực tế. Từ tốc độ di chuyển của vật thể cho đến tốc độ tăng trưởng của dân số hay tốc độ thay đổi của giá cả trong thực tế.
Trong kinh tế học, đạo hàm dùng để tối ưu hóa hàm lợi nhuận và tìm ra điểm cực đại hay điểm cực tiểu của hàm số. Công thức của đạo hàm thường dùng trong tối ưu hóa, như tìm ra giá trị lớn nhất hoặc nhỏ nhất của một hàm số. Bằng cách này chúng ta có thể xác định ra điểm cực trị và điểm uốn của hàm số. Khi này việc tối ưu hóa các vấn đề thực tế như tối ưu hóa chi phí hay tối ưu hóa hiệu suất, v.v.
Đạo hàm còn còn giúp chúng ta hiểu rõ hơn về sự biến đổi của hàm số, bao gồm đồ thị, điểm cực trị, điểm uốn, hay xu hướng tăng hoặc giảm của hàm số.
Đạo hàm được ứng dụng trong các lĩnh vực khoa học và kỹ thuật. Chẳng hạn như vật lý, kỹ thuật điện, kỹ thuật hóa học, khoa học máy tính hay kinh tế học, v.v.
Tham khảo: Cách sử dụng điều khiển điều hòa panasonic 2 chiều

Ý nghĩa của đạo hàmSau khi tìm hiểu đạo hàm là gì, ý nghĩa của đạo hàm thì cùng chúng tôi khám phá các công thức đạo hàm nhé!
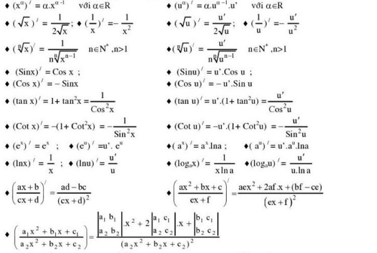
Công thức đạo hàm sơ cấp
Đạo hàm sơ cấpCông thức đạo hàm cấp cao
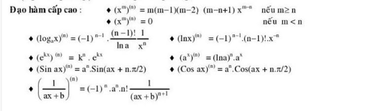
Đạo hàm cấp caoCông thức đạo hàm lượng giác
Đạo hàm lượng giácLưu ý: Có rất nhiều công thức đạo hàm chẳng hạn như quy tắc chuỗi, quy tắc nhân, và quy tắc chia. Từ đó để tính đạo hàm của các hàm phức tạp hơn.
Có nhiều phương pháp để tính ra đạo hàm của một hàm số. Mỗi phương pháp sẽ có một cách áp dụng riêng:
4.1. Cách tính đạo hàm của hàm số mũ
Hàm số mũ sẽ được biểu diễn dưới dạng f(x) = a^x. Với a là một hằng số dương. Đạo hàm của hàm số mũ sẽ được tính bằng công thức như sau: f'(x) = a^x * ln(a).
Theo đó, ln(a) là logarit tự nhiên của a.
Ví dụ, để tính đạo hàm của f(x) = 2^x.
Áp dụng công thức trên và có: f'(x) = 2^x * ln(2).
4.2. Cách tính đạo hàm của hàm số logarit
Hàm số logarit tự nhiên được biểu diễn dưới dạng f(x) = ln(x). Công thức đạo hàm của hàm số logarit sẽ được tính như sau: f'(x) = 1/x
Chẳng hạn: Để tính đạo hàm của hàm số f(x) = ln(x), ta áp dụng công thức: f'(x) = 1/x
Hàm số lượng giác gồm sin(x), cos(x), hoặc tan(x). Đạo hàm của hàm số sin(x) và cos(x) được tính như sau: f'(x) = cos(x) (nếu f(x) = sin(x)) , f'(x) = -sin(x) nếu f(x) = cos(x))
Đạo hàm của hàm số tan(x) được tính như sau: f'(x) = sec^2(x)
Trong đó, sec(x) là hàm số secant, được định nghĩa là sec(x) = 1/cos(x). Ví dụ, để tính đạo hàm của hàm số f(x) = sin(x), ta áp dụng công thức trên và có: f'(x) = cos(x)
4.3. Cách tính đạo hàm của hàm số hợp
Hàm số hợp là hàm số được tạo ra bằng cách kết hợp các hàm số khác với nhau. Đạo hàm của hàm số hợp được tính theo quy tắc chuỗi (chain rule). Quy tắc chuỗi chỉ ra rằng đạo hàm của hàm số hợp f(g(x)) được tính bằng tích giữa đạo hàm của hàm số ngoài f với đạo hàm của hàm số trong g.
Chẳng hạn:
Cho đạo hàm của hàm số f(x) = sin(2x), ta áp dụng theo quy tắc như sau: f'(x) = cos(2x) * 2
Trong đó, công thức đạo hàm của hàm số ngoài f là cos(x). Với đạo hàm của hàm số trong g là 2x (vì g(x) = 2x). Do đó, tích giữa hai đạo hàm này có dạng là cos(2x) * 2.
Đạo hàm được dùng làm gì? Có ứng dụng ra sao? Dưới đây là câu trả lời phù hợp:
Tính tốc độ và gia tốc
Trong vật lý, đạo hàm thường dùng để tính toán tốc độ và gia tốc của vật thể. Tốc độ của một vật thể có thể được xác định bằng đạo hàm của vị trí theo thời gian nhất định. Trong khi gia tốc sẽ được tính bằng đạo hàm của tốc độ theo thời gian.
Chẳng hạn: Nếu một vật thể có vị trí được mô tả bởi hàm số s(t) = 5t^2 – 3t + 2. Thì vận tốc của vật thể tại thời điểm t=a sẽ áp dụng công thức đạo hàm của hàm số s(t) tại t=a, tức là s'(a).
Tối ưu hoá
Trong kinh tế học và kỹ thuật, Công thức đạo hàm logarit dùng để tối ưu hóa các hàm mục tiêu. Bằng cách tìm đạo hàm của hàm mục tiêu rồi đặt nó bằng 0, chúng ta sẽ tìm ra được giá trị tối ưu của biến số.
Trước hết để ghi nhớ công thức đạo hàm lâu, bạn cần hiểu cơ bản về lý thuyết đằng sau các công thức đạo hàm. Nếu bạn như hiểu bản chất, việc nhớ nó sẽ dễ dàng hơn. Lặp lại công thức nhiều lần sẽ giúp não bộ của bạn ghi nhớ chúng. Việc làm này cũng giúp làm tăng cường bộ nhớ dài hạn.
Nhóm các đạo hàm dựa trên tính chất chung. Chẳng hạn nhóm các công thức cho hàm số mũ, logarit, lượng giác, điều để nhớ chúng dễ dàng hơn. Áp dụng các công thức đạo hàm vào các dạng bài toán thực tế có thể giúp bạn liên kết chúng với ứng dụng dễ nhớ hơn.
Giải nhiều bài tập áp dụng các công thức ấy. Thực hành là một cách hiệu quả để ghi nhớ cũng như làm quen công thức trong nhiều ngữ cảnh khác nhau.